您的当前位置: 首页 > 资讯中心 > 正文

应用解释结构模型对FMS故障原因分析

  • 2014-12-12 13:39:34
  • 来源:钣金与制作

前因集:可以到达要素Si的要素集合定义为要素Si的前因集,用A(Si)表示,由可达矩阵中第Si列中的所有矩阵要素为1的行所对应的要素组成。

最高级要素集:一个多级递阶结构的最高要素集,是指除了可以到达自己本身外,不能到达其它要素的要素组成的集合。其可达集R(Si)中只包含它本身的要素集,而前因集中,除包含要素Si本身外,还包括可以到达它的下一级要素。

若R(Si)=R(Si) HA(Si)这里i=j,则R(Si)即为最高级要素集。

找出最高级要素集后,即可将其从可达矩阵中划去相应的行和列,接着,再从剩下的可达矩阵中继续寻找新的最高级要素。以此类推,可以找出各级所包含的最高要素集。

2)通过ISM模拟软件建立可达矩阵,如图1所示。


图1 ISM模拟结果

3)模拟软件输出的可达矩阵,如图2所示。


图2模拟软件输出的可达矩阵

4)各层级分布。

第一层要素集合为{(7) (9) (10) (12)},第二层要素集合为{(3) (4)},第三层要素集合为{(2) (5) (8)},第四层要素集合为{(1) (11) (6)}。

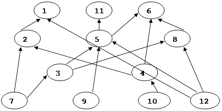
5)结构模型图,如图3所示。

图3结构模型图

FMS故障原因的解释结构模型分析

对建立的解释结构模型进行分析,由图3可知,FMS故障原因是一个具有四级的递阶结构,最低一级的导致因素有4个:设备部件老化(7)、设备连续工作时间过长(9)、原材料不符合要求(10)、日常管理不到位(12)。




中国锻压网官方微信:扫一扫,立即关注!
关注"中国锻压网",获取独家行业新闻资讯。
添加方法1:
在“添加好友”中直接添加微信账号:chinaforge
添加方法2:
微信中扫描左侧的二维码
网友评论
数据载入中...
  图片看不清?点击重新得到验证码 看不清,换一张
 
站内资讯搜索
图片播报
  • 一重获得百万千瓦核岛关键设备堆内构件制造资质
  • 四大车企将集中支持20家零部件龙头企业
  • 锻造工业重镇的强大引擎 开启柳州汽车产业新辉煌
  • 德国加大商用车轻量化研究
关于我们 - 联系我们 - 站点地图 - 隐私策略 - 用户协议 - 法律声明 - 推广服务
京ICP备05075268号 版权所有(C) 2011 中国锻压协会
E-mail:info@chinaforge.org.cn    URL:www.duanxie.cn www.metalform.cn
客户服务热线:010-53056669 传真:010-53056644
地址:北京市昌平区北清路中关村生命科学园博雅C座10层 邮编:102206